Элементы механической части электропривода связаны между собой и оказывают друг на друга воздействие.
Приведение – пересчет входящих в уравнение движения сил, моментов, масс, моментов инерции к элементу, движение которого рассматривается (чаще к валу электродвигателя).
Для расчетов реальную систему (электродвигателей, редукторов, барабан, груз) приводят в простейшую.

ПИМ – приведенный исполнительный механизм.
Приведение момента сопротивления исполнительного органа Мс:
1. Вращательное движение исполнительного механизма.
Реальная система:

Приведенная система:

Рис. 1
Условие 1: Pэд=М1∙ω1 – на валу 1
Pим=М2∙ω2 – на валу 2
С учетом потерь:

где

– передаточное число.

– Приведенный момент сопротивления исполнительного органа Мс
2. Поступательное движение исполнительного механизма.

рис 2.
Условие 1: Р1=mgv– для подъема груза
Pэд=М1∙ω1 – на валу 1 (электродвигателя)
С учетом потерь:

где

– радиус приведения

– Приведенный момент сопротивления исполнительного органа Мс
3. Двигатель через редуктор вращает барабан и поднимает груз.

Рис 3.

где

– радиус приведения


4. Спуск тяжелых грузов.
Опускание происходит за счет веса груза. Чтобы скорость была const, электродвигатель должен развивать тормозящий момент. Энергия передается от груза к валу двигателя (т.е. наоборот), → электродвигатель развивает меньший момент.

Обратимся к Рис. 3
Jд – момент инерции электродвигателя (в паспорте);
J1 – момент инерции всех масс, вращающийся со скоростью w1;
J2– момент инерции всех масс, вращающийся со скоростью w2.

– кинетическая энерги





Задача 1.
Дано;
Jg=0,1 кг∙м2
J1=0,02 кг∙ м2
J2=2 кг∙ м2
m=1000 кг
Rб=0,15 м
v=0,9 м/с
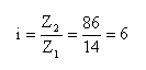
Z1=14
Z2=86
hp=0,97
hб=0,96
Mс↑, Mс↓, J-?
Решение:
1.Передаточное число редуктора

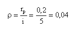
2.Радиус приведения, м

3. Приведенный момент инерции, кг∙ м2

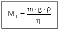
4. Статический момент при подъёме, Н∙м

5. Статический момент при спуске, Н∙м

Задача 2.
Дано:
m=5 кг
Rм=10 см
v=const
n=720 мин-1
h=0,95
Mc-?
w-?
Pдв-?

1. Угловая скорость, рад/сек

2. Момент статический, Н∙м

3. Мощность двигателя, Вт

Задача 3.
Дано:
ЭП токарного станка
Fp=60 кг – сила резанья
rp=20 см – радиус резанья
i=5
nдв=1450 мин-1
h=0,7
Mрез, Мс, Pдв -?

1. Угловая скорость, рад/сек

2. Приведенный радиус, м

3. Момент резания, Н∙м

4. Момент статический, Н∙м

5. Мощность двигателя, Вт
